Искусственный интеллект для Медицины - обзор
Обновлено: 22.01.2026
22.01.26. Гугл удалил AI Overviews из некоторых медицинских запросов

В отличии от OpenAI и Antrophic, которые, не стесняясь, выпустили отдельные ИИ-сервисы для управления здоровьем и медицинских консультаций, Гугл удалил из своего поисковика блоки AI Overviews в некоторых медицинских запросах. Правда, не по своей инициативе, а потому что издание The Guardian опубликовало материал о том, что некоторые ИИ ответы по медицинские вопросы - просто неправильные. В частности, когда пользователи спрашивали «каков нормальный диапазон анализов крови на функцию печени», им показывались цифры, которые не учитывали такие факторы, как национальность, пол, этническая принадлежность или возраст, что потенциально могло привести к тому, что они считали свои результаты здоровыми, хотя это было не так. Ванесса Хебдич, директор по коммуникациям и политике Британского фонда по борьбе с заболеваниями печени, сообщила The Guardian, что удаление — это «отличная новость», но добавила: «Нас больше беспокоит то, что это придирки к одному результату поиска, и Google может просто отключить обзоры ИИ для этого, но это не решает более важную проблему обзоров ИИ для здравоохранения».
2026. Представлены ChatGPT Health и Claude for Healthcare

Только мы в итогах 2025 года отметили де-факто легализацию ИИ-чатботов для медицинских консультантов, как два лидера ИИ-гонки OpenAI и Antrophic сделали еще один шаг в этом направлении - представили специализированные разделы в онлайн чатах и мобильных приложениях ChatGPT Health и Claude for Healthcare. Они позволяют импортировать данные из фитнес- и медицинских приложений типа Apple Health, Function, MyFitnessPal и формировать у себя вашу медицинскую карту. Также, они подключаются к медицинским базам и справочникам (например, классификатор заболеваний ICD-10, реестр медицинских провайдеров NPI и научная база PubMed). Ну и на базе всей этой информации - чатботы могут не только помогать с документацией, но и участвовать в анализе состояния здоровья. Очевидно, оба провайдера потратили много времени и денег, чтоб обучить свои модели правильно отвечать на медицинские вопросы, но, и очевидно, они ничего не могут сделать с галлюцинациями. Поэтому, посмотрим, удастся ли этим сервисам закрепиться или регуляторы из зарегулируют после парочки серьезных промахов.
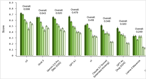
2025. OpenAI представил бенчмарк для медицинских компетенций LLM

Люди все чаще обращаются к чат-ботам за медицинскими советами, но пока общественное (и регуляторное) отношение к этому не определено. Сами разработчики LLM учат своих ботов, отвечая на медицинские вопросы, делать дисклеймер, что "мои советы не могут заменить доктора", но в целом, считают такие медицинские консультации нормальными, зная о неизбежных галлюцинациях, которые уже привели к парочке скандалов из-за опасно-ошибочных ответов. OpenAI сегодня даже представил HealthBench - бенчмарк, который оценивает качество медицинских ответов LLM моделей. Он включает 5000 реалистичных медицинских бесед, составленных и проверенных 262 врачами, и тестируемая LLM должна угадывать правильные ответы врача в этих беседах. Кроме того, компания провела тестирование ведущих моделей, и, конечно, победителем оказалась O3 от OpenAI, на втором месте Grok, на третьем Gemini.
2025. В приложении Apple Health появится AI-доктор

Apple работает над значительным обновлением приложения Health. В нем будет встроенный AI-агент, который будет частично имитировать врача и выступать в роли персонального медицинского помощника. Идея заключается в следующем: приложение и дальше собирать данные с ваших устройств (iPhone, Apple Watch, наушники или продукты сторонних производителей), а затем AI-консультант будет использовать эту информацию, чтобы предоставлять индивидуальные рекомендации по способам улучшения здоровья. Ожидается, что акцент будет сделан на отслеживании питания. Также Apple работает над функциями, которые будут использовать камеры устройств, в том числе основную камеру iPhone. AI-агент будет анализировать тренировки пользователя и давать советы по улучшению техники. Для обучения AI-агента Apple планирует привлечь экспертов в области сна, питания, физиотерапии, ментального здоровья и кардиологии.
2024. OpenAI создает персонального медицинского ассистента

Текущий лидер ИИ-рынка, компания OpenAI вместе с экс-главой Fitbit Арианной Хаффингтон, создали компанию Thrive AI Health для разработки проекта AI Health Coach. Цель создать медицинского помощника для тех, кто не может в полной мере пользоваться благами системы здравоохранения. Данные о состоянии здоровья будут доступны через приложение для смартфона или виртуального помощника. Помощник будет стимулировать небольшие изменения в пяти ключевых областях жизни: сон, питание, фитнес, управление стрессом и социальные связи. Внося незначительные изменения, например, предлагая 10-минутную прогулку, Thrive AI Health стремится оказать положительное влияние на людей с хроническими заболеваниями, такими как болезни сердца. При этом ИИ не будет ставить диагнозы. Генеральный директор OpenAI Сэм Альтман и Хаффингтон заявили, что бот будет обучен «лучшим рецензируемым практикам» наряду с «личными биометрическими, лабораторными и другими медицинскими данными, которыми пользователь решит поделиться с ним».
2023. Google представил MedLM - языковую модель для медицины

Google представил MedLM - семейство языковых ИИ моделей, специально разработанных для медицины. Они доступны на облачной платформе Google Cloud, и медицинские организации могут встраивать их в свои системы. Например, их можно использовать для заполнения медицинских карт, формирования набросков медицинских заключений, написания рецептов, переводов медицинских текстов. Другие ИТ-гиганты тоже стремятся занять эту нишу. Недавно Amazon запустил сервис AWS HealthScribe, который использует генеративный искусственный интеллект для расшифровки, обобщения и анализа записей разговоров пациента и врача. Microsoft тоже тестирует различные продукты для здравоохранения на базе искусственного интеллекта, в том числе медицинского «помощники» врача.
2022. Аппарат МРТ Philips MRCAT оснастили искусственным интеллектом

Компания Philips получила разрешение FDA на свою платформу МРТ с искусственным интеллектом Philips MRCAT. Ее используют, чтобы обнаружить раковые опухоли головы и шеи. Система MRCAT позволяет использовать МРТ в качестве основного метода визуализации без необходимости использования онкологами компьютерной томографии. Программное ИИ-обеспечение создает изображения, которые выглядят как те, которые можно получить с помощью компьютерной томографии с точки зрения точности и разрешения. Работа MRCAT занимает менее трех минут. MRCAT с поддержкой ИИ позволяет использовать МРТ или магнитно-резонансную томографию в качестве основного метода визуализации при использовании лучевой терапии для лечения опухолей головы или шеи.
2022. IBM продала свой медицинский бизнес Watson Health

IBM Watson Health - искусственный интеллект, который должен был победить рак (так нам обещали 7 лет назад) - продан инвестиционной компании Francisco Partners, по слухам, за очень скромную сумму (возможно, на металлолом). На сегодняшний день Watson используют всего несколько десятков больниц в мире. Он помогает врачам принимать решения по онкологическим пациентам. Стоимость его использования на одного пациента составляет 200-1000$. При этом его польза в планировании лечения, по мнению врачей, - сомнительна. В 2017 году Онкологический центр Андерсона в США официально объявил, что система Watson Health не обеспечивает безопасных и корректных рекомендаций. Поэтому большой популярности система не получила, и подразделение IBM все время было убыточным. Таким образом, на данном этапе IBM уходит с медицинского рынка.
2021. Webiomed - ИИ для анализа медицинских данных

Компания К-Скай разработала ИИ платформу для прогностической аналитики и управления рисками в здравоохранении Webiomed. Она способна обработать имеющиеся медицинские и даже социальные данные о человеке – от результатов анализов и обследований за все годы жизни до хронологии течения болезней, анализа привычек, наследственности и образа жизни. Она может обнаружить патологии на ранних стадиях, а также следить за показателями здоровья человека с целью предупреждения пациента или врача о начале опасного развития болезней. Искусственный интеллект формирует единый цифровой паспорт пациента, в который входит не только картина его здоровья сейчас, но и определены факторы риска развития хронических неинфекционных заболеваний, возможные негативные события в здоровье пациента, включая ухудшение имеющихся заболеваний, госпитализацию или даже смерть.
2020. На СберЗдоровье появилась ИИ-диагностика по симптомам

На сервисе СберЗдоровье (ранее DocDoc) появился ИИ-инструмент, который поможет определить, к какому врачу следует обратиться при недомогании. Для этого пользователь должен описать как минимум три симптома в специальном поле, а математическая модель проанализирует введённые данные. Симптомы можно описать своими словами — система понимает сокращения и текст с ошибками. После постановки диагноза система предлагает записаться на приём к врачу или проконсультироваться удалённо через СберЗдоровье. Нейросеть обучили на 4 млн установленных обезличенных диагнозах и их симптомах. Точность постановки диагноза в компании оценили в диапазоне от 75% до 91%.
2020. В MIT создали идеального анестезиолога на базе искусственного интеллекта

Группа ученых из Массачусетского технологического института и Массачусетской больницы разработала нейросеть, которая умеет контролировать уровень бессознательного состояния пациента во время операции и определять/вводить оптимальную дозу анестетика. Ученые обучили ее на данных о пациентах, которые были созданы на основе фармакокинетических и фармакодинамических моделей со случайными параметрами. Тестирование показало, что новый алгоритм превосходит пропорционально-интегрально-дифференцирующий регулятор (ПИД), который зачастую используется для определения идеальных доз анестетика. По мнению ученых, главные преимущества нового подхода — возможность масштабировать клинические переменные, а также связь глубокой сети с входными переменными и рекомендуемой дозировкой.
2020. FUJIFILM создала ИИ-детектор полипов для колоноскопии

Пока еще роботизированная колоноскопия не проводится, зато появилась возможность роботизированного обнаружения полипов. Японская компания FUJIFILM представила технологию для видеопроцессоров CAD EYE, которая автоматически выделяет подозрительные области на изображении в реальном времени. Таким образом, врач, даже если он уставший, не пропустит полип. Система содержит в себе нейросеть, обученную на сотнях записей колоноскопий с помощью собственного суперкомпьютера FUJIFILM.
2020. Microsoft потратит 40 млн на внедрение ИИ в медицину
Компания Microsoft выделила $40 млн на свою иницииативу AI for Health, в рамках которой будет реализовано несколько проектов по внедрению ИИ в медицину. В частности машинное обучение будет использоваться для раннего распознавания синдрома внезапной детской смерти, диагностики лепры по фотографиям со смартфона, диагностики диабетической ретинопатии по офтальмоскопической картинке, анализа больших данных в исследованиях различных типов рака.
2020. В России власти пытаются создать медицинский ИИ

Минпромторг собирается создать российский нейросетевой программно-аппаратный комплекс (НПАК) для медицинского искусственного интеллекта, которая станет базироваться на отечественных нейропроцессорах. Предполагается, что НПАК станет основой доверенной информационной инфраструктуры, обеспечивающий работу с большими медицинскими и медико-биологическими объемами данных. На текущий момент проект находится в самой начальной стадии - запущен конкурс на выполнение соответствующих научно-исследовательских работ. В ходе них будущему господрядчику предстоит определить технический облик и пути разработки НПАК, а также создать его действующую модель и провести ее испытания.
2019. Искусственный интеллект помагает диагностировать туберкулез

Английская компания Cambridge Consultants разработала ИИ-систему BacillAi, которая позволит отчасти решить проблему распространения туберкулеза в развивающихся странах, где это заболевание является одной из наиболее частых причин преждевременной смерти. Для диагностики туберкулеза с помощью искусственного интеллекта BacillAi врачу достаточно микроскопа и смартфона с интернет-доступом. Врач просто фотографирует приложением окрашенный образец мокроты пациента с обычного лабораторного микроскопа. Далее снимок автоматически обрабатывается нейросетью на удаленном сервере и вскоре врачу приходит информация о количестве и типе туберкулезных клеток в образце.
2019. Искусственный интеллект предсказывает успех ЭКО лучше врачей
Американский стартап Univfy придумал ИИ-алгоритм, который предсказывает результаты искусственного оплодотворения ЭКО точнее, чем стандартный подход, основанный на совокупной статистике по возрасту и интуиции врача. ИИ учитывает состояние здоровья пациентки и в целом дает более персонализированный прогноз. Для каждой больницы стартап заново обучает алгоритм, используя лишь данные местных пациентов. После этого врачу достаточно ввести в программу информацию о новой пациентке и получить отчет о вероятности успешного ЭКО при первой и последующих попытках. Врачи, работающие с Univfy, отмечают, что точность прогнозов — не единственное преимущество алгоритма компании. Получив подробный отчет, пациентки лучше оценивают ситуацию и чувствуют больше уверенности при принятии решений об ЭКО, в том числе повторных. Услугами стартапа уже воспользовались около 10 000 женщин.
2019. Amazon Alexa становится семейным доктором
Умная колонка Amazon Alexa стала очень популярна в США. Она умеет отвечать на разные вопросы, помогать организовывать дела и управлять домашними девайсами. И, что интересно, одной из основных функций Алексы становится роль домашнего доктора или, скорее, менеджера здоровья. Уже есть два сервиса - HealthTap и Ada, которые наделяют Алексу медицинскими знаниями и позволяют давать пользователям советы, что делать при тех или иных симптомах. На днях Amazon подключила еще 6 сервисов, которые позволяют взаимодействовать с аптеками, больницами и лабораториями (например, узнавать результаты анализов и записываться на визит к доктору поблизости). А главное, они сертифицировали Алексу на соответствие требованиям HIPAA (это очень строгий американский стандарт по конфиденциальности медицинской информации), так что теперь можно ожидать бурного развития медицинских способностей Алексы.
2019. Botkin.AI - российская ИИ-система диагностики онкологических заболеваний

Оказалось в России тоже есть стартап, который разрабатывает систему искусственного интеллекта для автоматического анализа медицинских снимков и диагностики заболеваний. Botkin.AI уже умеет анализировать снимки компьютерной томографии грудной клетки. Он предоставляет специалисту не только информацию об обнаружении опухоли, но и выделяет участки, требующие его внимания. Говорят, точность алгоритма при анализе компьютерной томограммы грудной клетки составляет до 95%. Система совершенствуется не только посредством обработки большого объема изображений, но и в процессе практической работы с врачами (когда врач подтверждает или опровергает диагноз). В ближайшее время разработчики обещают добавить модули для анализа маммографии и цифрового рентгена, что увеличит число распознаваемых патологий.
2018. В России внедрен искусственный интеллект, контролирующий работу врачей

Московская сеть клиник «Доктор рядом» внедрила систему контроля качества медицинских назначений на базе искусственного интеллекта, созданную специалистами сервиса Doc+. Система анализирует медицинские карты пациентов по 15 параметрам: например, полнота сведений, собранных при обследовании больного, правильность дозировок лекарств, предписанных врачом. Потом, по каждому из 15 критериев алгоритм выставляет оценки. Если оценки низкие, карта передается на перепроверку врачу-эксперту. Пока что решение проверяет только назначения врачей-терапевтов, но в разработке уже находятся системы контроля качества работы педиатров и гинекологов. Разработчики утверждают, что благодаря помощи алгоритма врачи тратят на проверку медицинских документов в три раза меньше времени, при этом снижается возможность ошибок в оформлении протоколов, а сама проверка проходит беспристрастно.
2018. Видео: протез руки с искусственный интеллектом
Высшим пилотежем современных протезов считается имплантация электродов в нервные пути, чтоб человек силой мысти мог управлять бионической конечностью. Однако, надо признать, что хорошего управления пока достичь не удается, т.к. слишком это тонкая работа - правильно соединить каждый нерв с электродом. А что если протез сам сможет думать и помогать своему хозяину? На видео Джозеф Сирош, технический директор по ИИ в Microsoft показывает протез руки со встроенной камерой и интернет-подключением к облачной ИИ платформе. Картинка с камеры передается в облако и там с помощью машинного обучения распознается предмет и определяется как его хватать (например, ключи - двумя пальцами, а рюмку - всей пятерней). Конечно, при таком подходе нейроинтерфейс все-таки тоже нужен, чтобы протез не хватал все предметы подряд.
2018. Facebook хочет ускорить МРТ сканирование в 10 раз с помощью ИИ

Обычно процедура МРТ сканирования длится от 15 минут до часа. Чем больше данных необходимо собрать, тем дольше требуется воздействие. Во-первых, это облучение. Во-вторых, человеку все это время надо лежать и не двигаться. Для некоторых пациентов, особенно для детей - это большая проблема. В-третьих, клиника может провести только несколько сканирований в день, из-за чего своей очереди нужно ждать несколько дней. Группа исследователей искусственного интеллекта из Facebook (FAIR) совместно с Школой медицины при Нью-Йоркском университете планирует ускорить МРТ-сканирование как минимум в 10 раз. Они разработали нейросеть и обучили ее на десятках тысяч сканов таким образом, что она научилаь сама заполнять пробелы в МРТ-снимках.
2018. Aira - очки для слепых с искусственным интеллектом
Ранее мы рассказывали о нескольких очках для слепых, которые через имплант передают визуальную информацию прямо в глазной нерв. Но очки Aira - используют менее инвазивную технологию. В них есть камера и телефон. Если носителю нужно что-то прочитать или понять куда идти или что делать, он нажимает на кнопку и соединяется с одним из агентов в call-центре. Тот видит все через камеру и помогает клиенту. Но в определенный момент создатели очков поняли, что им нужно слишком много агентов. Поэтому они решили встроить в очки искусственный интеллект (виртуальную ассистентку Хлою), которая умеет читать. Теперь, если носителю очков нужно что-то прочитать (например, надпись на коробке с таблетками), он просто говорит "Эй, Хлоя! Прочитай это" - и слушает.
2018. Google создал ИИ для диагностики глазных болезней

В крутых медицинских центрах для диагностики глазных заболеваний используют оптическую когерентную томографию - современный неинвазивный бесконтактный метод, который позволяет визуализировать различные структуры глаза с более высоким разрешением (от 1 до 15 микрон), чем ультразвуковое исследование. Однако, у этой технологии существенный недостаток: на обработку и интерпретацию снимков уходит очень много времени (в некоторых случаях около недели), а при некоторых состояниях это может быть фатальным для пациента. Команда Google DeepMind создала нейросеть которая позволяет обрабатывать эти снимки очень быстро и автоматически выявляет наличие пятидесяти различных болезней глаз. Нейросеть обучена на огромной базе снимков Британского центра по борьбе с глазными болезнями Moorfields Eye Hospital, проверенных квалифицированными специалистами.
2018. В Google создали ИИ-помощника доктора, который обучается по медицинским картам

Обычно, врачу не хватает времени, чтобы обработать всю имеющуюся информацию о пациенте. А вот у искусственного интеллекта такой проблемы нет - он может "думать" о конкретном пациенте 24/7. Однако, с ИИ - есть другая проблема. Ему нужны данные для обучения и данные этого конкретного пациента в цифровом упорядоченном формате. В результате - опять же не хватает времени вводить и упорядочивать эти данные. Команда разработчиков из Google под руководством доктора Авина Раджкомана (на фото) создала ИИ, который сам добывает данные из сканов медицинских карт пациентов. Этот ИИ уже даже успел "отличиться" правильно предсказав вероятность смерти одной пациентки с раком груди. Представители компании заявили, что сейчас планируют провести клинические испытания новой платформы в ряде клиник. Если все пройдет хорошо, ИИ-доктор от Google станет коммерческим сервисом и будет помогать человеческим врачам принимать правильные решения.
2018. Google создал микроскоп с дополненной реальностью для диагностики рака
Изучение образца крови под микроскопом - все еще необходимая процедура для диагностики рака. При этом точность диагностики зависит от (порой усталых) глаз врача. Почему бы не использовать для этой процедуры нейросеть, обученную на миллионах уже обработанных образцов? Именно это и сделали сотрудники Google AI. Их система дополненной реальности для микроскопа автоматически обращает внимание врача на подозрительные участки, так что точность диагностики значительно возрастает.
2017. ИИ может значительно улучшить пластическую хирургию

Эстетическая хирургия лица предполагает тщательное предоперационное планирование и измерение пропорций лица пациента. И если поручить эту работу искусственному интеллекту, можно получить более качественный результат, причем намного дешевле. Но как же красота? Откуда ИИ знает, что красиво, а что нет? Все просто. Нужно обучить его на большой выборке красивых лиц. В недавнем исследовании ученые создали автоматизированный классификатор красоты лица: это специальный алгоритм, обученный с помощью 165 изображений привлекательных женских лиц, которые также были оценены независимыми экспертами. В ходе анализа изображений решения ИИ совпали с оценкой судей.
2017. doc.ai - искусственный интеллект для здоровья на блокчейн
Что нужно чтобы получить инвестиции в стартап прямо сейчас? Конечно, сказать что вы разрабатываете искусственный интеллект, работающий на блокчейн и снять вдохновляющее видео об этом. Так и поступили основатели стартапа doc.ai. Пока толком не понятно, как будет работать их сервис, но видео - действительно вдохновляющее. Вроде как они предлагают хранить в блокчейн сети все персональные медицинские данные людей (включая геномы, микробиомы и другие -мы) и анализируя их с помощью ИИ, выдавать персонализированные медицинские рекомендации.
2017. Нейросеть диагностирует болезнь Альцгеймера на ранней стадии

Лечить болезнь Альцгеймера врачи пока не умеют, но диагностировав ее на ранней стадии, по крайней мере можно отсрочить ее воздействие. Ученые из университета Кейс Вестерн Резерв (США) создали нейросеть, которая предсказывет появление этого заболевания на ранней стадии. Система обрабатывает сканы МРТ, характеристики гиппокампа, метаболизма мозга, белковые и генетические особенности, умеренные когнитивные нарушения и другие параметры. Алгоритм отбирает параметры, которые лучшим образом разделяют больных и здоровых людей. А затем отбирает из переменных, указывающих на заболевание, те, что лучше других разделяют людей с умеренными когнитивными нарушениями и собственно болезнью Альцгеймера. Исследователи протестировали программу на 149 пациентах и утверждают, что их нейросеть превзошла другие методы диагностирования.
2017. Qventus - искусственный интеллект для управления больницей
Искусственный интеллект может не только помагать врачам принимать решения, читать рентгеновские снимки и создавать новые лекарства. Еще одна сфера, в которой ИИ может помочь - управление работой больницы. Ведь работа больницы состоит из постоянных неожиданностей - может поступить новый тяжелый пациент или состояние пациента с стационаре может резко ухудшиться. Как предсказать, сколько ресурсов (помещений, врачей, оборудования, материалов) понадобится больнице в данный период времени? ИИ может сделать это, если дать ему возможность поучиться некоторое время. Живой пример - Qventus, который работает уже в нескольких американских больницах. Например, он может предсказывать скорое ухудшение состояние пациентов в стационаре по основным измеряемым параметрам работы организма и зарезервировать нужный персонал на предотвращение критической ситуации.
2017. Bright.md - виртуальный медицинский представитель

Медицинские виртуальные ассистенты, которые сейчас есть на рынке, можно поделить на 2 категории: те, которые помагают врачам принимать решения (например, IBM Watson) и те, которые заменяют доктора для помощи пациентам в принятии простых решений (например, Ada). Еще один ИИ-ассистент Bright.md - находится где-то посредине между врачем и пациентом. Он не дает медицинских советов, но зато берет на себя всю рутинную работу - получает ответы пациента по опросному листу, назначает сдачу анализов, организует встречу доктора с пациентом, заполняет все бумажки по результатам обследования. В общем, работает как медицинский представитель в иностранной клинике, в которую вы приезжаете.
2017. Искусственный интеллект AtomNet поставит разработку новых лекарств на поток

Мы уже рассказывали как искусственный интеллект Watson придумывает гипотезы для новых эффективных препаратов посредством анализа научных работ. Но анализ естественного языка - не единственный способ изобретать новые лекарства. Можно еще анализировать язык химии. Именно этот подход и использует система AtomNet американского стартапа Atomwise. В нее ввели результаты миллионов известных взаимодействий молекул, и на их основе система предсказывает результаты неизвестных взаимодействий. Обычно этот процесс проводится опытным путем в лаборатории, что повышает затраты на создание новых лекарств до нескольких лет и нескольких миллиардов долларов. Провернув этот процесс в компьютере, можно оставить для лабораторий только самые перспективные опытные препараты.
2017. Сервис Mendel.ai подыскивает клинические испытания для больных раком

Клинические испытания новых препаратов от рака - это возможность бесплатно получить эффективное лечение, которое появится в общем доступе только через несколько лет. Конечно, и риск неудачного лечения в этом случае - выше. Но если пациент хорошо подходит под условия клинических испытаний - этот риск снижается. Искать клинические испытания можно на сайте clinicaltrials.gov, однако сам пациент вряд-ли обладает достаточной квалификацией, чтобы определить, подходят ли ему данные испытания, а у доктора обычно нет времени отслеживать, какие клинические испытания сейчас проводятся. Стартап Mendel.ai подумал, почему бы не заменить в данном случае доктора на искусственный интеллект. Разработанный ИИ умеет понимать естественный язык, на котором написана медицинская карта пациента и описаны испытания на сайте, и с помощью обученной нейросети предлагает подходящие варианты.
2017. Ada - персональный ИИ-доктор, который работает по протоколу
Ada - новый виртуальный ассистент с медицинским образованием (мы уже рассказывали о его коллегах Babylon, Doctor A.I, MedWhat). Ada тоже умеет понимать человеческий язык и ставить диагноз (+ давать совет) на основании описанных симптомов. Чем она отличается? Тем, что в ней зашиты довольно четкие протоколы-опросники. Например, если вы пожалуетесь ей на головную боль - она задаст еще пятьдесят вопросов, пока не будет уверена в диагнозе. Ada доступна как (бесплатное) мобильное приложение с интерфейсом чат-бота, а также как голосовое приложение для умной колонки Amazon Alexa.
2017. AliveCor использует ИИ для предотвращения инфаркта

Стартап AliveCor разрабатывает популярное мобильное приложение + датчик для снятия кардиограммы в полевых или домашних условиях. Но снять кардиограмму - это лишь пол дела. Нужно ее еще расшифровать. А лучше - отследить паттерны, которые появляются на кардиограммах изо дня в день. Конечно, сам пациент этого не осилит, а доктор - не будет просматривать сотни кардиограмм пациента в поисках опасных паттернов. Зато искусственный интеллект не поленится выполнить эту задачу. Теперь в приложении AliveCor появилась такая функция. Причем, она учитывает не только паттерны кардиограмм, но и другие параметры, которые пользователь вводит в приложение: вес, артериальное давление, физические активности. Если приложение выявляет риск скорого инфаркта - оно зараннее предупреждает пользователя.
2017. Lenovo добавил голосового медицинского помощника в свою умную колонку

Только недавно мы рассказывали о партнерстве HealthTap и Amazon в результате которого домашняя голосовая помощница Alexa получила медицинские знания. А теперь конкурирующая фирма (вернее альянс компания Lenovo и Orbita Voice) представили подобное решение. Умная домашняя колонка Lenovo Smart Assistant, которая ожидается в продаже в этом году, будет оснащаться медицинским чат-ботом, которого Orbita Voice создала для здравоохранения. Домашний медицинскй помощник призван оказывать дистанционную помощь ***
2017. Nuance создает голосового ассистента для врачей
Компания Nuance была в бизнесе распознавания речи еще когда Siri не было даже в проекте. Одними из главных пользователей систем Nuance всегда были врачи, которым нужно быстро заполнять медицинские карты и другие бумажки. Поэтому Nuance уже давно выпускает специализированные решения для медицины. Они становились все более функциональными, и вот дело дошло до персонального ассистента врача - по имени Florence. Как видно из видео, Флоренс пока не дает советов на предмет лечения пациентов, зато отлично работает как секретарша - помагает быстро найти нужную информацию о пациентах, сплатнировать день, назначить встречи. И конечно, она может отлично записывать под диктовку.
2017. Некоторые болезни можно диагностировать по голосу

Недавно мы сообщали, что ученые научились диагностировать 17 болезней по запаху изо рта, но оказывается, некоторые болезни можно диагностировать даже по голосу. Специалисты в Langone Medical Center (Нью-Йорк) уже используют данный метод. В первую очередь для диагностики психологических заболеваний, таких как постравматический синдром и депрессия. Такие пациенты затягивают некоторые звуки или с трудом произносят слова, требующие напряжения мышц лица. Компьютерная программа, основанная на машинном обучении, легко определяет таких пациентов. Но медики на этом не останавливаются и уже обучают программу распознавать по голосу пациентов с болезнями сердца. Говорят, такие пациенты испытывают определенный тип боли во время речи и соответствующие голосовые биомаркеры можно довольно точно определять.
2017. Умная колонка Amazon Alexa в качестве домашнего врача

Сервис Healthtap до прошлого года предоставлял только телемедицинские консультации. Потом они взяли скрипты многих тысяч консультаций и натренировали по ним чат-бота, которого теперь зовут Doctor A.I. А на днях этот электронный доктор стал доступен через умную колонку Amazon Alexa. Таким образом, теперь американцы могут, заходя на кухню, рассказать Алексе о своем плохом самочуствие и получить совет. Или зарезервировать встречу с живым врачем через телемедицинский сервис.
2017. Microsoft разработала чат-бота врача

В сервисе для управления здоровьем Microsoft HealthVault появился Health Bot - чат бот, который может отвечать на медицинские вопросы вместо врача. Microsoft предлагает обучать и использовать этого чат-бота различным телемедицинским сервисам и продвинутым медицинским центрам. Чат бот построен на тех же технологиях обработки естественного языка, что и виртуальный ассистент Cortana. А значит он довольно умен и запоминает контекст разговора, правда пока понимает только английский.
2017. Детский госпиталь создал виртуального помощника для маленьких пациентов
Как правило, дети считают больницу оччень стрёмным местом, и это отнюдь не помогает лечению. Чтобы сгладить отрицательные эмоции, взрослые придумывают разные штучки. Например, робота-медвежонка или МРТ-приключение. В ливерпульском детском госпитале Alder Hey придумали более простое решение, которое вполне может позволить себе любая детская больница в мире. Это мобильное приложение с виртуальным ассистентом - мультяшным персонажем, с которым ребенок может поговорить. Например, мышка. Она познакомится с маленьким пациентом, между делом расскажет ему о больнице, успокоит чтоб он не боялся, напомнит, когда нужно приехать. Работает это приложение на базе платформы искусственного интеллекта IBM Watson.
2017. Na-Nose - электронный нос для диагностики болезней по запаху
Известно, что при различных заболеваниях, в выдыхаемом человеком воздухе содержатся различные химические вещества - биомаркеты. Израильский стартап Breathtec Biomedical придумал, как воспользоваться этим и диагностировать заболевания по запаху. Они создали портативный газоанализатор Na-Nose, который содержит наночастицы золота, покрытых органическими лигандами. Связываясь с этими лигандами, биомаркеры меняют электрическое сопротивление между наночастицами. Для определению болезни по паттерну изменения сопротивлений используется искусственная нейросеть. Разработчики уже научили нейросеть распознавать 17 заболеваний, в том числе рак легких, болезнь Крона, болезнь Паркинсона, рассеянный склероз и язвенный колит. При этом средняя точность диагностики составляет 86 процентов.
2017. Babylon - сервис медицинских видеоконсультаций с ИИ фронт-эндом
Когда-нибудь искусственный интеллект полностью заменит врачей, но пока он еще не такой умный. В то же время, человеческие врачи становятся более дорогими и менее доступными. Поэтому, некоторые стартапы создают комбинированные медицинские сервисы, сочетающие ИИ с врачами. Например, английский Babylon Health. Он предоставляет базовые медицинские консультации с помощью чат-бота. В некоторых (легких) случаях чат-бот может самостоятельно решить проблему пациента, сэкономить его деньги. А если бот не уверен в диагнозе и назначении лечения, он рекомендует подключить врача-человека. В любом случае бот экономит время врача, собирая первичную информацию о симптомах у пациента.
2017. MedWhat - персональный электронный доктор в вашем телефоне
Попасть к доктору иногда довольно сложно и дорого. А если проблема - незначительна, то визит к доктору не стоит затраченного времени, нервов и денег. В будущем у каждого человека в телефоне будет персональный доктор, основанный на искусственном интеллекте. Как Siri, только умный и изучивший миллионы книг по медицине, реальных историй болезни и всю доступную информацию о вашем конкретном организме. Что-то вроде этого уже есть - приложение MedWhat для iPhone и Android. С ним можно говорить на простом (английском) языке. Оно не только отвечает на вопросы типа "Я простудился. Что делать?", но и заботится о вас, пока вы не выздоровите. Например, само поинтересуется через день, болит ли еще горло, напомнит, когда нужно принять очередную таблетку или предупредит, когда пора обратиться к врачу.
2017. Молли - электронная медсестра на базе искусственного интеллекта
В недалеком будущем искусственный интеллект будет ставить вам диагноз и определять оптимальную тактику лечения. Но на определении тактики лечения медицина не заканчивается. Нужно еще проследить, чтобы вы выполняли все рекомендации врача, принимали вовремя лекарства, измеряли показатели здоровья. И в этом деле тоже поможет искусственный интеллект. Вот стартап Sensely уже создал электронную медсестру Молли, которая общается с пациентами с экана планшета, напоминает им о медицинских процедурах, объясняет как их делать. Кроме того, через отчеты Молли лечащий врач может удаленно контролировать ход лечения пациента.
2017. Искусственный интеллект пытается работать психологом

Что должен делать психолог? Во-первых, понимать проблемы, особенности психики, обстоятельства пациента. Во-вторых - разговаривать. Вторая задача для искусственного интеллекта уже решена: вспомните Siri или многочисленных чат-ботов. Что касается первой задачи, то теоретически ИИ может лучше понять пациента, чем человек-психолог, у которого 10 пациентов в день и куча своих (психологических) проблем. Японская компания NTT Resonant разработала ИИ по имени Oshi-el, который прямо сейчас пробует свои силы в качестве онлайн-психолога. Для его обучения создатели ввели в него порядка 190 000 вопросов и 770 000 ответов в области психологии. Из полученной базы данных формируются ответы в зависимости от задаваемого вопроса с приданием ответу эмоционального окраса. Таким образом, машина способна не просто дать совет, но и выразить сочувствие и предложить несколько вариантов решения проблемы.
2017. ИИ научили предсказывать сердечные приступы
До сердечного приступа лучше не доводить, но жить активно ведь тоже хочется. Вот бы знать, насколько близок сердечный приступ, чтобы не переборщить с нагрузками. Команда разработчиков из Имперского колледжа Лондона придумала использовать искусственный интеллект для определения вероятности сердечного приступа. Они получают снимки работающего сердца на МРТ и скармливают их искусственному интеллекту, а тот создает динамическую 3D-модель сердца (см. видео) и выдает вероятность остановки сердца в течении года. В течении 4 лет проводилось исследование, в котором приняли участие 256 больных с легочной гипертензией. Компьютер правильно определил тех, кто проживет больше года, в 73% случаев. При том, что точность предсказаний врачей составила 60%.
2016. Watson поможет Pfizer создавать лекарства от рака
IBM и фармацевтический гигант Pfizer начали сотрудничать, чтобы ускорить разработку новых иммунотерапевтических средств для борьбы с онкологическими заболеваниями. Для исследований в этой многообещающей области будет использоваться искусственный интеллект Watson. Предполагается, что Watson будет проверять гипотезы разработчиков новых лекарств на основе анализа больших объёмов данных из открытых источников и результатов собственных исследований Pfizer. Год назад Pfizer уже пробовала использовать Watson для разработки двух препаратов, не связанных с онкологией. Тогда разработчики загрузили информацию о проделанных исследованиях в Watson, после чего суперкомпьютер предположил наличие «очень мощного эффекта сочетания» при возможном использовании для лечения рака. Одновременно собственная команда исследователей компании Pfizer предложила сходную комбинацию. Это укрепило уверенность учёных в том, что работа идёт в правильном направлении.
2016. Виртуальные ассистенты для управления здоровьем

Основное внимание на нашем портале мы уделяем новейшим медицинским технологиям, которые уже применяются или скоро будут применяться в клиниках: редактирование ДНК, нанолекарства, искусственные органы, бионические протезы... Однако, не менее важной частью медицины будущего станут технологии для самостоятельного управления собственным здоровьем. На первый взгляд - это странно. Зачем еще лучше заботиться о своем здоровье, если можно пойти в больницу и там ваш организм починят, даже если он в совсем плохом состоянии? Однако, существуют 2 причины, почему системы для самостоятельного управления здоровьем станут очень популярны. ***
2016. IBM Watson поможет врачам автоматизировать анализ медицинских снимков

Год назад IBM заплатила $1 млрд за компанию Merge Healthcare, специализирующуюся на автоматической обработке медицинских снимков: рентгенов, МРТ, КТ. Причем, вместе с этой технологией IBM получила в свое распоряжение миллиарды обработанных изображений - отличную пищу для искусственного интеллекта Watson. И вот тепепрь IBM представила новое решение для анализа медицинских снимков на базе IBM Watson. IBM Watson способен помочь врачам-радиологам, снимая с них часть рутинных обязанностей по анализу снимков, помогая обрабатывать и анализировать такую информацию. Возможность же использовать дополнительные данные с информацией, полученной в ходе анализа снимков помогает ставить точный диагноз мгновенно и с минимальной вероятностью ошибки. При условии успешного прохождения клинических испытаний новый сервис уже скоро сможет в полной мере помогать врачам в их нелегком деле.
2016. Watson занялся поиском лекарства от БАС

Помните Ice Bucket Challenge, целью которого был сбор средств для поиска лечения бокового амиотрофического склероза (БАС)? Теперь для этой задачи припахали и искусственный интеллект Watson. Сделали это разработчики из нейрологического института Барроу (США). Watson уже изучил всю публичную научную литературу по БАС и составил рейтинг из 1500 генов, которые упоминались в этой литературе, и которые могут быть причиной болезни. Исследовали изучили топ-10 генов в этом рейтинге и, с удивлением, обнаружили, что 5 из 10 генов никогда не считались основными причинами БАС. Теперь они собираются создать экспериментальные препараты для воздействия на эти гены и проверить правильность гипотезы Ватсона. Отметим, что это первый случай использования Watson для нейромедицины. До этого он, в основном, занимался онкологией.


















